Saturday, February 23, 2008

Feb 23 - Law of Sine

Today, we will be looking further at the triangle and its circumscribing circle (CC), by investigating the relationship between the side lengths of the triangle and the diameter of its CC. This will lead to one of the central theorem about triangles, namely, the law of Sine.

A classical proof of the Law of Sine is outlined below.

For triangle ABC, construct its CC as shown in the diagram.
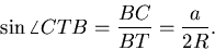
Draw line from B through the center of the CC to intersect CC at point T. Length of TB is 2R (the diameter of the CC). Angle TCB is a right angle, by Thale's theorem.

los los2
Since los3

We have
los4

By drawing diameters from point A and C, we can similarly prove

los5

Combined into a simpler form, the Law of Sine is usually written as

los6

Labels:

0 Comments:

Post a Comment

Subscribe to Post Comments [Atom]

<< Home